7 Apr 2013

Target2 and Euro1 : €692 trillion in transactions in 2012

Governments are finding it very hard to make ends meet. They are told that austerity is the only solution - either they cut spending, or they raise taxes. Both options will cut growth.

But are all taxes equally bad for the economy? I've been arguing that low rates of taxes on Financial Transactions would be a very straightforward and easy to implement solution, and indeed there are 11 EU countries who are implementing some such scheme.

We are told that such schemes are unlikely to be effective, because the transactions will move elsewhere. Well, how about simply imposing a transaction tax on the large-value payment systems that are a central part of the European Union? Specifically, what about simply charging a transaction fee for using the TARGET2 system (TRans-European Automated Real-time Gross Settlement Express Transfer System)?

The European Central Bank provides detailed information on its website about the value of transactions handled by the system. I have just downloaded all the data since 2009, and compiled a table where you can see just how much has been processed by the system, as well as by a second privately operated system called EURO 1.  Here are the results.


As you can see, total transactions for the TARGET and EURO 1 systems totalled over €692 trillion in 2012.  The vast majority of that (91%) involves the TARGET system, which has handled about 3.5% more in 2012 than in the previous year.

There's also a breakdown by country, and you can see that 30.8% was handled in Germany, followed by 17.4% in France and 16.6% in Italy. Nearly all the transactions involve the 17 Eurozone countries.

Currently, the Eurosystem charges users with one of two parallel schemes:
  • Recurring fixed charges and a fixed transaction fee
    • Monthly fixed charge: €100.00
    • Single transaction price: €0.80
  • Recurring fixed charge and a variable transaction fee based on number of transactions
    • Monthly fixed charge: €1,250.00
    • Variable transaction price: volume-based between €0.60 and €0.125
Making charges this way obviously gives a big advantage to the largest users. But how about having a single flat rate tax on all transactions that simply depended on the value transfered (i.e. a financial transaction tax)? For example, how about applying the same 0.1% fee on for share trading transactions that is being introduced into 11 european countries?

Of course, the banks will no doubt scream that this is outrageous and that it will wreck the economy. But I would say that they are lucky that they don't have to pay the 2-3% fee that all the rest of us typically pay when we make a credit card payment in a foreign currency (the "foreign transaction fee").

The hundreds of billions of euros that could be generated by such a tax would go a long way to getting the Eurosystem back on its feet. The revenue could be divided between the 17 Eurozone countries depending simply on the population size of each country. And each country could use the revenue as it wishes - either to pay off government debt, restore public spending, or reduce taxes.

Seems reasonable to me.

6 Apr 2013

The need for monetary reform in France

I'm currently in contact with a number of people in France who believe that we really need something like the UK's Positive Money movement to press the case for monetary form. We are trying to put together the arguments needed to convince the French public and government that there are indeed alternatives to the current diet of austerity.

I'm also preparing for a talk that I will be giving next week in a meeting in Montbrun, a small town in the Ariege.

So, to start the ball rolling, lets just have a look at how the French national debt has increased over the past 35 years.

Back in 1978, the debt level was a modest €72.8 billion. By the end of 2012, it had been multiplied 25-fold to reach €1833.8 billion. What was the main reason for this?

Well, the graph also shows the cumulated interest payments on government debt. As you can see, the total since 1978 has reached something like €1150 billion, i.e. around 64% of the total outstanding debt. Actually, the number could be €1400 billion, according to many authors, although I have not been able to find where that particular number comes from.

The important thing to realize is that the French government should not need to borrow money at all. If we had a sensible system, the French government would be able to obtain money free of interest from the Banque de France. Indeed, this was how things worked until 1973 when Pompidou and Giscard D'Estaign passed a law which effectively meant that the government would have to borrow from private banks (La loi du 3 janvier 1973). Could this have had anything to do with the fact that before becoming Président, Georges Pompidou had been the General Manager of the Rothschild bank?

Interestingly, the situation would have been a lot worse if the interest rates that the government had been paying had stayed at the levels that had been typical in the 80s and 90s. Here's one graph that I produced from Eurostat figures that goes back to 1993 and which shows that long-term interest rates reached a peak of 8.23% in January 1995.

For the effective interest rates going back to 1978, have a look at this graph that I got from a report published in April 2010 called "Rapport sur la situation des finances publiques" by Paul Champsaur and Jean-Philippe Cotis.


Here again, you can see that interest rates of between 7 and 8% were common throughout the 80s.

The important thing to realize is that when the commercial banks lend money to the French Government and then charge the French taxpayer interest on those loans (something that cost taxpayers €52.6 billion in 2011), they don't actually have the money they lend. They create the "money" out of thin air. This is because elected governments have handed the right to create (and destroy) the money supply to the commercial banks.  This is insane. Why should the French government borrow money from the banks and pay interest when money creation can be done with no interest by central banks?

Of course, the government isn't alone in having to borrow its money from the commercial banks. Businesses and households are also forced to borrow from those banks. And here again, the banks are happy to create the money out of thin air, and charge interest.

The latest BIS dataset provides the numbers for Private Sector debt, qnd distinguishes between Household debt and Non-financial Corporations (i.e. Business). Here's are the data since 1977 in graph form.

As you can see, the total has been skyrocketing, reaching €3.31 trillion at the end of the third quarter 2012. It's less easy to find out precisely how much the interest charges on that cost, but if we assume a figure of 5%, we can imagine that around €165 billion gets sucked out of the French economy every year in the form of interest payments.

And of course, we can add private sector debt to government debt to get a total of €5.13 trillion in debt, and a combined interest charge of something like €220 billion a year - about 8% of French GDP (which was €2.77 trillion in 2012).

Where do those interest charges go? Well, here's a graph that I got from the Agence France Trésor which shows that currently, about 64% of government debt is held by non-residents. In other words, the majority of those interest payments leave the country. Maybe they go to fill the $21 trillion in private accounts held in offshore tax havens?

It is very clear to me that, like the UK, France needs a radical reform of its monetary system. Implementing the ideas proposed by Positive Money in the UK could be especially difficult to achieve in France, because any moves by the French government may well be blocked by the ECB and its president, Mario Draghi. As the ex-European director of Goldman Sachs, it is unlikely that he will be very keen on killing the proverbial goose that has been laying golden eggs for the banking system for decades.

But the moral case for change is overwhelming. And if the ECB and the Bundesbank block changes, there are alternatives. I have previously argued that the insane fractional reserve money creation machine could be turned on itself to cancel out public debt -see this piece from last year. Another alternative would be to introduce a parallel debt-free public money - the N-Euro.

Nevertheless, it is clear that the first step has to be to get the problem out in the open. The public has to be made aware that they have been the object of a massive scam. It has to stop.

23 Mar 2013

Updated transaction values for 2012 : Euroclear €541.6 trillion, SwapClear $385.4 trillion, OCC $16 quadrillion?

A few days ago I blogged about the New York Federal Reserve's analysis of how $15 trillion gets churned through the US Financial system every day. But they admitted that the data for a number of players was incomplete, meaning that the $15 trillion figure (which would mean about $3.75 quadrillion over a year) was underestimated.

So, let me help fill in a few numbers.

I last reported on EuroClear back in January 2012 when I noted that they had processed over €526 trillion in 2010. I'm happy to report that they are still going strong, and there is a nice graph on their website showing that this increased to €580.6 trillion in 2011. But times were a bit harder in 2012 - they only managed €541.5 trillion.

Still, slap a 0.1% FTT on that lot and you could generate €540 billion in a year.

Another of my favourite companies is LCH.Clearnet Ltd. They operate a number of systems, including SwapClear for which their website says that "Swapclear clears more than 50% of all OTC interest rate swaps and more than 95% of the overall cleared OTC interest rate swap market. We regularly clear in excess of $1 trillion notional per day and have more than 2 million cleared trades outstanding".

Here's a graph of monthly volumes over the past two years.

The total for 2012 comes to an impressive $385.4 trillion. But the figures for the start of 2013 have gone through the roof. They actually provide a daily breakdown of activity for each different currency together with the total for the year so far.

As you can see, on the 21 March, SwapClear processed a total of $2.371 trillion in a single day. And since the beginning of the year, they have handled $135,971,741,893,436 ($136 trillion). It's interesting to see that the most popular currency was the Euro for which the total has already reached nearly €54 trillion. One wonders why the ECB can't simply impose an FTT on all transactions involving Euros....

But there's another name that appeared in the Federal Reserve's report. A name that I hadn't heard of before. It's the Options Clearing Corporation (OCC) described by its website as "the world's largest equity derivatives clearing organisation". Indeed, the website says that in 2012 it cleared "4,042,175,801 contracts, a 12 percent decline from the 2011 record volume of 4,600,955,949 contracts". Unfortuately, I was unable to find any numbers concerning the value of all this activity.

For Euroclear, you can work out that the €541.6 trillion for 2012 involved 158.9 million  transactions. That means that each transaction was presumably worth around €3.4 million each - call that a round $4 million. If OCC's 4 billion trades involved similar sums, that would imply that OCC had handled something like $16 quadrillion worth of transactions.

Could that number be correct? If anyone out there can confirm, it would mean that my $5.5 quadrillion number for US financial transactions is hopelessly off. It could easily be $25 quadrillion.

Now that number is 10,000 times total US tax revenue. And that means that ALL the current US taxes could be replaced by a 0.01% tax on all electronic transactions.

Think about it....

22 Mar 2013

Light at the end of the tunnel?

George Osborne's Budget this week was just as bad as expected. Absolutely no sign whatsover of any realistion that austerity cannot work. As I discussed previously, Olivier Blanchard the chief economist at the IMF has already admitted that the assumptions on which the politics of austerity are based are completely wrong. For every £1 billion of cuts, the country's GDP will drop by between £900 million and £1.7 billion.

But Osborne and co continue regardless - apparently because their real objective is to use the current financial crisis as an excuse to dismantle the welfare state - a point made very forcibly in Polly Toynbee in today's Guardian ("Do people get Osborne and co yet? Even Thatcher wouldn't have gone this far").

However, there was one good bit of news on Wednesday. Osborne used his budget to announce the  publication of a 62 page "Review of the monetary policy framework"  by the HM Treasury. As Ben Dyson from Positive Money noted, the document indicates that some parts of the government may be slowly moving in the right direction. Specifically, the document seems to raise the possibility of money creation by the state as part of a series of "unconventional monetary instruments".

Indeed, when I read through the document, I really did get the impression that there may be a chink of light at the end of the tunnel.

For example, on page 46 there is a chart that shows how the Central Bank balance sheet sizes have varied since 2006 for the US Federal Reserve, the Bank of Japan, the Bank of England and the European Central Bank.

As you can see from the graphs, the ECB's balance sheet increased from 13% of GDP to something like 33%, the Bank of England roughly quadrupled from 7% to 27% of GDP. And the Fed went from 6.5% to around 20%.

In other words, Central banks are perfectly free to expand the money supply - and they do.

We then read "In principle, central banks have unlimited scope to expand their balance sheets, creating central bank reserves with which to purchase assets or otherwise support nominal spending in pursuit of domestic policy objectives."

And then, on page 54, we read:

"In theory, central banks could go beyond the range of unconventional instruments deployed by central banks in advanced countries since the 2009-09 financial crisis. For example, it is theoretically possible for monetary authorities to finance fiscal deficits through the creation of money"

(at this point they cite Milton Friedman, 1948, and Ben Bernanke's famous "helicopter money" speech from  2002 "Deflation: Making sure it doesn't happen here"). And then they say:

"Adair Turner, Chairman of the Financial Services Authority, has suggested this could be a tool to used in extreme circumstances".

So, the question is - just how extreme do the circumstances need to be? Things are not critical enough??

The problem is that once people realize that there is absolutely no reason whatsoever why central banks could not replace the creation of the money supply by commercial banks and create the money supply debt free, we would be very close to killing the goose that has been laying golden eggs for the banking system for centuries. And the bankers have huge resources to bribe politicians, economists and journalists and prevent the subject being debated openly.

If even the UK Treasury is starting to put pressure on the Bank of England, then there may be hope that Mark Carney, the newly appointed governor of the Bank, may have a few new levers to pull on.

20 Mar 2013

Private sector debt : $25.0 trillion (US), €15.7 trillion (EU) and £3.2 trillion (UK)

(NOTE added 27th March 2013 : Due to a weird error in the way Excel handles dates, the graphs I originally presented were offset by four years, and so the values were actually those for the end of 2008. Sorry about that. I've recalculated the graphs and discovered that private sector debt has since levelled off, and even dropped slightly in the US and UK. A beautiful demonstration of how the crisis has crippled the economy).

On the 18th of March, the Bank for International Settlements released a new dataset that compiles figures on Private sector borrowing in 40 different countries. There's a webpage about it here. It's an impressive set of numbers that can be downloaded as an Excel file here. And there's a document that goes with the data called "How much does the private sector really borrow - a new database for total credit to the private non-financial sector".

I took the numbers for the US, the UK and the Eurozone countries for which figures are available, and plotted how the numbers have increased over the years.

For the US, where the figures go back to 1952, you can see that the increases has been totally spectacular. The level of debt has doubled in the space of 9 years to reach a peak of £25.2 trillion at the end of 2008. It then dropped a bit and has since increased again to reach $25.0 trillion at the end of the third quarter 2012.


For 12 of the Eurozone countries, where the figures go back to 1971, you can see that again it only took 9 years to double the amount of debt, reaching an impressive €14.3 trillion at the end of 2008. Since then, the amount of debt has increased more slowly to reach a total of €15.15 trillion at the end of the 2nd quarter 2012 (15.69 trillion if all 17 countries are included).

Finally, for the UK, where the numbers go back to 1963, it's a similar story except that it  only took 7 years to double the amount of private debt in the run up to the peak of £3.18 trillion at the end of 2008. Since then, it has been wobbling around, with the latest value of £3.12 at the end of the third quarter  2012.

Impressive. And when you think that all that debt has interest charges attached, is it any wonder that the entire global economy is on its knees. Lets be generous and assume that this debt is only being charged compound interest at 5% per year. Even on that figure, it means that in the US, about $1.2 trillion is being paid out by the private sector (households and companies) to the financial system every year. In the Eurozone, the figure will be around €800 billion a year. And in the UK, we can assume that the number will be £150 billion.

And that's without taking into account that a lot of the private debt is on credit cards that will happily charge up to 20%. And some of it will be debts toward payday loan companies that can sometimes charge over 14,000% interest.

It goes without saying that this insanity has to stop. Remember that the banks that lend the "money" to the private sector don't actually have the money to lend. They create it out of thin air, and then have the nerve to charge interest.

But they only do that because we let them. Money creation should be done Debt-Free by central banks. If the system is not changed, then those three graphs will just keep on going up and up. As will the graphs for the other thirty odd countries whose private sector debt levels are detailed in the BIS dataset. Nobody is going to get out of debt. Not individuals. Not companies. And not even governments.

It is time to change the system.

How the US financial system processes at least $15 trillion every day

My thanks to Susy for pointing me towards a remarkable 39 page document that the New York Federal Reserve published in March 2012. It's called "Intraday Liquidity Flows" and was produced by the Federal Reserve's Payments Risk Committee which "contacted and gathered  information from seventeen firms that provide utility services for the U.S. financial system and from operations within two banks that provide certain specialized securities clearing services." "The PRC asked for hourly statistics on intraday flows of USD for “normal” days and for the peak day during the 4th quarter of 2010. "

Here's the list of the various actors.


And here is how the different actors work together.


This is how the volumes of transfers break down between the different components.

The Gross Value of the Payment Transactions was almost $15 trillion per day, and those transactions involved net transfers of over $9 trillion. Here are the numbers plotted in chart form so that you can see where the activity is occuring. You can see that the largest sector is Government Securities Clearing, involving FedWire, Clearing Banks and the FICC which handles over $7.6 trillion every day.



Impressive numbers.  Anyone out there doubting that applying a Financial Transaction Tax to these massive flows of funds? With $15 trillion a day, and at least 250 trading days a year, it is clear that there are at least $3.75 quadrillion being handled every year.

But even this number is certainly seriously underestimated. For example, as I noted in a previous post, the Chicago Mercantile Exchange Group (CME) was boasting that it handled over $1 quadrillion in 2011  - but that number doesn't seem to appear anywhere in the Federal Reserve's analysis. This fits with the little asterisk that you can see in the figure which notes that "Information is not available or de minimis for some CCPs and CSDs". The "CCPs" include the CME group, but also ICE Clear Credit, LCH.Clearnet and the Options Clearing Corporation. The CSDs include Euroclear and ClearStream, neither of which were under any real obligation to hand over their full figures to the Fed.

My guess is that the  $5.5 quadrillion figure that I gave previously may be a minimum. It could be a lot higher.

And of course, the Fed would have to do this sort of excercise continually if we wanted to know what the current numbers are. We already know that the figures in 2011 were substantially higher than the period in 2010 that was used for the Fed's analysis. It's anyone's guess how much these numbers will have increased in 2012.

As I have said repeatedly, the US government could scrap business taxes, income taxes and sales taxes completely, and replace the whole lot by a tax on the $3.75 quadrillion (minimum) in payments of well under 0.1%. Why don't they do it? 

19 Mar 2013

Bryan Gould : Spot On.....

Bryan Gould, the ex-Labour politician who once ran for the leadership of the Labour party (in 1992) but has since given up politics and retired to his native New Zealand has just posted a piece in the Guardian called "Osborne is committed to austerity... but is even he still a real believer?"

In it, he asks a series of questions that demonstrate that he has understood where the real problems are. Just take a look at them.
"Take the propositions that the market (and especially financial markets) can be accurately predicted on the basis of mathematical models, that they are self-correcting and do not therefore need regulation, and that any intervention in unregulated markets will automatically produce results that will be worse than if they had been left alone. As Keynes warned, and experience in the form of the global financial crisis has confirmed, markets – and financial markets in particular – are all too likely, if unregulated, to lead to excess and collapse.

Or, what about the belief – maintained for more than three decades – that macroeconomic policy is not a matter for government but is a simple matter of restraining inflation – an essentially technical task through setting interest rates that can safely be entrusted to unaccountable bankers? Do we still believe that monetary policy is all that is needed for a healthy economy? Or that it is any more effective than pushing on a piece of string as a means of escaping from recession? Or – when we look to more successful economies overseas – that there is no role for government?

And what about the related confidence displayed in the expertise and objectivity of bankers in running our economy? Do we still believe that bankers have the common interest at heart and do not make decisions to suit themselves? Are we happy that they continue to enjoy the astonishing privilege, as private monopolies, of creating money out of nothing, thereby exercising hugely more power over our fortunes than do elected governments?

What do we think of the faith placed by successive governments, not least by New Labour, in the financial services industry as the means of paying our way in the world? Do we still accept that the huge fortunes made by a few in a largely unregulated City represented real and sustainable wealth-creation in which the rest of us would share?

Even more importantly, what do we think of the careless assumption that focusing on financial services made it unnecessary to concern ourselves with our manufacturing base? Do we now understand that the loss of manufacturing means – now that the chips are down – that we are denied the most reliable way of maintaining our standard of living, the most important source of innovation, the most substantial creator of new jobs, the most effective stimulus to improved productivity and the provider of the quickest return on investment?

Do we understand that globalisation has meant, with the removal of exchange controls, that major global investors can now move huge volumes of money – totalling as much in a single day as the total annual production of most economies – from one country to another, and have thereby disabled democratic governments from doing anything to protect us?

And do we understand that the combined effect of all these policies has been to create a huge mechanism for shifting wealth and resource from the poor to the rich, and that it is that which is responsible, rather than any great ability or virtue on the part of the rich, for the widening inequality that weakens and disfigures our society?"
As I noted in the comments section,  I think this guy deserves a medal.
"Spot on!!
Thank you Bryan Gould for asking some absolutely vital questions that amazingly never get asked by journalists - even in the Guardian.
For example:
" Do we still believe that bankers have the common interest at heart and do not make decisions to suit themselves? Are we happy that they continue to enjoy the astonishing privilege, as private monopolies, of creating money out of nothing, thereby exercising hugely more power over our fortunes than do elected governments?"
Exactly! Commercial Banks have been handed the liberty to create money out of thin air by creating loans and then charging us interest. Since 1983, they have increased the money supply by an average of 10% a year using fictitious money. They do it by lending "money" to individuals, businesses and even governments. And the interest charges on those loans has cost people in the UK £2.4 trillion since 1987.

"Do we understand that globalisation has meant, with the removal of exchange controls, that major global investors can now move huge volumes of money – totalling as much in a single day as the total annual production of most economies – from one country to another, and have thereby disabled democratic governments from doing anything to protect us?"
Spot on again! Financial transactions in the UK were something like £1.76 quadrillion in 2011. In the US, the figure was $5.5 quadrillion. It is no wonder that governments cannot protect their citizens when the financial industry can move such colossal sums around at no cost. And when anyone tries to put a 0.1% tax on such transactions we are told that it will destroy peoples pensions. Rubbish. It will maybe destroy the ability of the financial markets to blackmail elected governments.
Bryan - any chance that you could be persuaded to come back to Europe? We desperately need politicians like you. Maybe you have been talking to the people at Positive Money New Zealand? In any case, you are talking complete sense."


9 Mar 2013

David Cameron gets it completely wrong - twice

David Cameron made a speech last Thursday in which he made two particularly bad errors. First, he claimed that his government's budget cuts were not responsible for the UK's economic woes. I quote:
"As the Independent Office for Budget Responsibility has made clear, growth has been depressed by the financial crisis, by the problems in the eurozone and a 60% rise in oil prices between August 2010 and April 2011. They are absolutely clear, and they are absolutely independent. They are absolutely clear that the deficit reduction plan is not responsible: in fact, quite the opposite."
The next day, Robert Chote, the head of the OBR wrote to Cameron to explain that this claim was untrue. In the letter, Chote says the following:
"To date our forecasts have used 'mulipliers' that imply that every £100 of fiscal consolidation measures reduce GDP in that year by around £100 for capital spending cuts, £60 for welfare and public services cuts, £35 for increases in the VAT rate, and £30 for income tax and National Insurance increases, with the impact diminishing thereafter....[ ]... applying these multipliers to the consolidations measures put in place by the previous and current governments would have been sufficient to reduce GDP in 2011-12 by around 1.4%"
Chote admits that the multiplier values are the subject of debate. But he neglects to mention that specifically, the IMF Chief Economist recently said that the value of 0.5 for the fiscal multiplier used by economists in their models was seriously understimated, and that the real value was probably between 0.9 and 1.7. If those numbers are used, one would expect the drop in GDP to be somewhere between 2.5% and 4.75%.

So, just look at the graph of UK GDP growth (or rather absence of growth) since the financial crisis, and imagine what it would look like without the governments pointless and counterproductive cuts. That graph could have been off the scale....

But the problem is that Cameron and Osbornes brilliant plan A for which "There Is No Altenative" (TINA) is not justified by a real desire to fix the economy. As economist Ha-Joon Chang put it in  in today's Guardian : 
"In reality, though, the coalition government isn't as stupid or stubborn as it appears. It is sticking to its plan A because spending cuts are not about deficits but about rolling back the welfare state. So no amount of evidence is going to change its position on cuts."
 The other point in David Cameron's speech where he got it completely wrong is when he said this:
"There are some people who think we don't have to take all these tough decisions to deal with our debts. They say that our focus on deficit reduction is damaging growth. And what we need to do is to spend more and borrow more. It's as if they think there's some magic money tree. Well, let me tell you a plain truth: there isn't." 
Well, as I pointed out in a comment to the Guardian, he's wrong there. 
"Actually, David, there are plenty of money trees around. There's the money tree at the Bank of England that has provided £375 billion in QE for the UK financial sector. There's the money tree at the ECB that Mario Draghi used to provide over €1 trillion for hundreds of European Banks in late 2011 and early 2012. There's the money tree at the Federal Reserve which has promised to provide $50 billion or more a month if needed - again to the financial sector. Those money trees are the direct cause of the booming stock markets.

And finally, there is the money tree that all commercial banks have which allows them to create money out of thin air in the form of interest bearing loans. Since 1983, the UK banking sector has been increasing the money supply by an average of 10% every year - even after inflation that still works out at an average of 7%. Your chums in the City have been using that particular money tree to pay themselves a total of £2.4 trillion in interest payments since 1987.

Yes, there are plenty of money trees. Unfortunately, they are all in the hands of your chums, and your friends have no intention of letting any governments use those money trees in the public interest."

3 Mar 2013

Bank Bonuses - the missing element

There's a lot of talk this week about Bank bonuses. The European Union plans to put a cap on all banking sector bonuses at the level of the base salary, unless shareholders agree to a specific arrangement, in which case the bonus could reach twice that level. The very day the new scheme was announced, the Royal Bank of Scotland, which taxpayers were forced to bail out, posted 2012 losses of more than £5 billion - after having paid out more than £600 million in bonuses.

As soon as the EU draft proposals were revealed, Cameron immediately lept in to defend the right of his chums in the City to "earn" unlimited bonuses.

On thursday, the Guardian published something called "Bonuses : the essential guide", in which the paper's six main economics journalists gave a detailed report on questions like "How did bonus culture develop, why is it controversial, and what is the EU doing about it?"

However, at no point in that report was there any mention of the fact that bonuses in the banking sector are not like bonuses in other sectors of the economy. We can complain about massive payments made to football players - but if the presence of those players in a particular club actually enable the club to increase profitability, then it is difficult to see on what grounds those large salaries should be blocked. If a new start-up comes up with a brilliant idea for a new product and makes a fortune for its founders, I personally see no problem with those people earning very large sums. The people who created Apple, Google and Facebook probably deserve their financial rewards (although obviously, I would like to see the tax system fixed so that such multinationals paid their fair share).

But banking is different. Most people have yet to realize it, and indeed it is an amazingly well kept secret, but commercial banks have the power to create new money out of thin air. If anyone else tried it, it would be viewed as conterfeiting. But commercial banks have managed to rig the economic system so that they have the power to create the nation's money supply by issuing loans using money that they don't have. They then charge the rest of us interest.

In such a system, it is not difficult to see how bankers bonuses can be so sky high. Suppose you are a banker, and you get a fixed percentage on all the loans you make. Your bank allows you to create money when you make a loan. The borrower has to pay interest on the loan (let's say 10% for the sake of argument), and the person who makes the loan gets to keep 2% of the amount loaned. This is essentially what happened in the run-up to the financial crisis in 2008-9. Banks were lending out hundreds of billions of money that they didn't have, and the bank staff were "earning" commissions on those deals made with fictitious money.

A neat illustration of how this sort of system works is provided by the case of "Sir"' Philip Green, who started of with a few million of his own money, borrowed billions from the financial sector to buy out a large chunk of the British High-Street, taking over chains like BHS, Acadia and Topshop. Once he got in control, he got those shops to borrow even more money from the banks, putting them massively in debt. And he used a substantial wad of that borrowed money to pay his wife, a Monaco resident, and hence able to avoid UK taxes, a neat dividend of  £1.2 billion in 2005

When you look back at that particular episode, and you realize that all of those buy-outs and dividend payments were made with money that was created out of thin air by the commercial banking system, and that the whizz-kids in the City that allowed the operation to work certainly pocketed hundreds of millions in bonuses in the process, you begin to realize just how sick the situation is.

But it gets worse. Not only do the commercial banks use their money creating monopoly to provide the money needed by the rest of the economy, they can also create money for their own internal usage. When Jerome Kerviel ran up debts of €4.9 billion for the Société Générale, it is extremely unlikely that he was using money that the bank obtained as savings deposited with the bank. No, when an alpha trader is doing well,  the "investment" arms of commercial banks can just open a credit line for them to play the markets. They don't need to have the money in advance. They just create the money internally. And if the trader's deal works out, they can make massive profits for the bank, and huge bonuses for the trader. Occasionaly, as with Kerviel, the trader screws up, and the bank gets left high and dry. But most of the time, they get away with it.

But for me, the worst exampel is the case revealed recently, where Barclays bank apparently lent billions to the Qataris to buy shares in Barclays. It seems incredible, but this sort of operation may not be illegal. Rather, the traders involved in setting up the deal appear to be in trouble for earning excessive fees. Indeed, if Barclays decides to create £5 billion in loans to the Qatari investment agency, which then uses that money to buy shares in Barclays, and the Barclays staff involved in the deal each earned a nice percentage on the the deal, it is clearly fraud. Incidentally, as a recent Panorama program on the BBC showed, Barclays probably set up the deal to avoid having to ask for a public bail-out - and that was because they didn't want the government to be able to put limits on their bonuses.

So, banking is not like the rest of the economy. For my part, I would say that all bonuses in the banking sector should be blocked until it can be demonstrated that those bonuses are not directly related to abuse of the money creation system. Of course, once Positive Money's proposals have become reality, and commercial banks no longer have the power to create money, bankers will be able to start earning bonuses for actually earning money - just like the rest of the economy.

In the meantime, I would say that the re-establishing the right of commercial banks to pay bonuses should be conditional on them accepting a change in the system that prevents them creating money. Simple....

The start of a Democratic Revolution?

Last week, Beppo Grillo's anti-politics Five-Star Movement won 25% of the vote in the Italian General Election.

Although their refusal to join in coalitions with the existing political parties will certainly make forming a new government difficult, if not impossible, I personally find the result very positive. It means that in every European country, there is a real possibility that the those potential voters who are currently failing to turn out at elections could have a way to express their disatisfaction with the current bunch of politicians.

Next year, it will be the elections to the European Parliament. Imagine what would happen if there was something like Grillo's movement to vote for in every country. There would be a real chance that the established politicians could be in serious trouble.

Now, I'm no anarchist. But when Ben Dyson tried talking to establishment political parties about Positive Money's proposals for monetary reform, he concluded that he was wasting his time - they just don't seem to be capable of listening (see the video of his presentation to the Positive Money Conference a few weeks ago). Could it be that established party politicians have been corrupted by their links to the financial system? Could the same thing be said for economists? In France, a book last year claimed that many of the so-called neutral economists that you hear in the media are aslo being paid directly by the banks. So much for independence. And what about journalists? How can you explain the fact that the Positive Money's recent sell-out conference has not had a single mention in the mainstream press, and that not a single journalist has so far mentioned the book "Modernising Money"?

Maybe I'm paranoid. But, I seriously suspect that if we want to fix the system, it will have to be done via a grass-roots movement for political and economic reform. One of the neat features of Positive Money's proposals is that they are not obviously left-wing or right-wing. Indeed, they argue that while the way newly created central bank money is used is very political, the need to regulated the level of money in the economy and the need to create new money debt free is just good sense. Yes, a left-leaning government will no doubt want to concentrate on using available money creation for increasing spending on social services and the public sector, while a right-leaning government would stress cutting taxes. But that is a separate question from the urgent need to fix the monetary system.

A similar argument applies to my own proposals to replace the current inefficient, costly and notoriously unfair taxation systems by a universal variable flat-rate financial transaction tax. Again, for me, it's not a left-wing or right-wing proposal. It's just good sense (in my humble opinion).

So, what is needed is a democratic revolution in which independent, intelligent people who are not part of the political system, and who do not have a political axe to grind, can be voted in, and put in a position where they can force those changes that are so desperately needed. Maybe Grillo's result in Italy is the first step on that path....

The solution we are all looking for....

I just posted the following review of "Modernising Money" on the Amazon Customer review site. It joins an increasing number of ecstatic 5 star reviews. May those reviews continue to roll in!



How many times do you hear that the government is massively in debt, and that there are only two options - either (a) increase taxes, or (b) cut government spending?

This story, which is repeated endlessly by policitians, economists and journalists is a fiction. And Andrew Jackson and Ben Dyson's excellent book explains why. The real problem is that governments have handed the power to create the nation's money supply to the commercial banking system. And those banks are responsible for creating 97% of the money in the UK system. They create that money "out of thin air" when they make loans. And then they charge everyone - individuals, businesses and governments - interest on those loans.

My own calculations back up the claims made both in Modernising Money, and in the Positive Money groups's previous book "Where does money come from?" (also highly recommended). Since 1995, the UK goverment has paid over £495 billion in interest charges on government debt. That's a substantial proportion of the £1.1 trillion in public sector debt. And these payments have been going on for decades. Indeed for most of the 1960s and 1970s, the government was paying around 3.5% of GDP to the banks in the form of interest charges, reaching a peak of over 4.5% in 1981-2.

What Jackson and Dyson demonstrate is that those payments were totally unnecessary, because there is absolutely no reason why the nation's money supply needs to be created as interest bearing debt by commercial banks. The Bank of England could, and should, be creating the money supply. And it should be providing that money supply to power the economy free of interest charges.

The usual argument trotted out by the defenders of the Banks right to create the money supply is that if governments were to be given control of the money supply, they would be tempted to increase the money supply too fast, and the result would be hyperinflation - we would end up in Zimbabwe, or the Weimer Republic.

But Jackson and Dyson calmly demolish these arguments. In an appendix, they demonstrate that the Zimbabwe/Weimar Republic arguments are phoney. They also demonstrate that, left to the commercial banks, money creation is done in a way that follows only one objective - maximising bank profits. And that is why a vast amount of the newly created money has gone to fuel house price inflation - with the result that working families are now priced out of the housing market.

But the real killer is that they don't propose to hand over the keys of the money creation mechanism to the government. No, they propose that money creation for the economy should be the responsibility of an independent, yet publicly accountable "Money Creation Committee" whose job would be to regulate the supply of money in the economy. I find this argument absolutely convincing, and it completely avoids all the usual counterarguments to monetary reform.

Putting the money creation process in the hands of people who have nothing to gain from excessive money creation would end the boom and bust cycles that have plagued economies since the dawn of banking. It's a point that was also demonstrated in a recent publication by two IMF economists who used state of the art economic modelling to show that taking the money creation power away from commercial banks and using what is known as Full-Reserve Banking would be extremely beneficial ("The Chicago Plan Revisited").

To make one last point, consider the following. Since 1983, the UK banking system has been increasing the total money supply (measured by M4) by an average of 10% every year. Even if you take into account inflation, you still get a net increase of 7% per year. But since the financial crisis in 2008-2009, the banks have effectively been removing around 7-8% of the money in the economy every year. That's because everyone has been desperately trying to pay back their debts. And when they pay back the money they owe to banks, that money actually disappears. That is why the economy is in crisis.

The commercial banks not only have the power to create money out of thin air when they create loans, they have the power to destroy in when those loans are paid off. Indeed, if we all tightened out belts, eliminated all our debts, and the government slashed all public spending to pay back all the "money" that it has borrowed from the banking system, there would be no "money" left.

That is why the system needs to be fixed. The money supply should be in the hands of a publicly accountable central authority, and it should be injected into the economy debt-free. That is what Jackson and Dyson are proposing. And they are absolutely right.

Everyone, but everyone, should read this book. If you hear a politician, economist or jouralist saying that tax rises and cuts in public spending are the only options, you can tell them that they are completely wrong.

The Positive Money System - in plain English

The Positive Money people have just released a short (28 page) document that you can download here, called "The Positive Money System - in Plain English".


Please - Read it! They have made a real attempt to get rid of the technicalities, and explain their proposals in understandable English. And if you want the details, you will find them in the 330 page book "Modernising Money : Why our monetary system is broken and how it can be fixed". I was pleased to see that you get the book in a Kindle edition too, although unfortunately this option is only available for UK customers.

For me, the propositions made by Positive Money make perfect sense. But I won't try and summarize them myself, because they have done that so well in their Plain English version.

But I am aware that there are some Monetary reformists who are convinced that there is something fundamentally flawed in the proposals - in particular, some of the people in the Modern Monetary Theory movement.  Despite repeated attempts, I've not been able to see what the problem is with the Postive Money proposition - at least when applied in the UK system.  I can understand that the situation in the USA is somewhat different, because the Federal Reserve is not a nationalised Bank like the Bank of England - it is literally a consortium of private banks. This may complexify the analysis. But, for the UK, what's the problem?

If there are any MMT proponents reading this who think there are problems with Positive Money's approach, could you please leave comments here so that we can have an open discussion? For me, one of the real problems is that there are quite a few different people who know that there is a real need for monetary reform, but unfortunately, they can't agree on a clearly defined approach to fix the problem. For me, that is the beauty of the Positive Money proposal - it is extremely concrete. And the Modernising Money book goes into a very full analysis of precisely what would have to happen to fix the system.

But I would ask any critics to first read the 28 pages of the Plain English text, or preferably read the full book. I don't want to have to explain the details of something which is already out there.

On the other hand, if there really are problems, let's hear about them.

24 Feb 2013

Irresponsible Money Creation - Part 2

Yesterday, I posted a graph showing how the rate of increase in the UK's money supply (M4) had varied over the period 1983-2012. It showed how, for much of that period, the banks have been merrily increasing the money supply by around 10% every year. Why? Because they earn interest whenever they can get anyone to borrow money from them - even if they don't actually have any money to lend. It's a fantastic system - if you are a banker. And, as I have argued previously, those interest payments have cost individuals, businesses and local and central government £2.4 trillion since 1987. It's easy to make money that way...

But then I thought that maybe I was being unfair. After all, there is inflation. And it would be normal that the banks increase the money supply to match the devaluation in the value of money caused by inflation. Right?

So, I decided to get the figures on UK Retail Price Index Inflation so that I could see how much net money creation had been going on. This is what I found.


As you can see from the purple curve, which plots the difference between the annual increase in the money supply and the annual increase in the Retail Price Index, the net increase in the money supply has averaged about 7% per year since 1983. There was a big spike at over 15% in 1986 - the year of the Big Bang, when Thatcher's government opened the flood gates and allowed the Banks to do pretty much what they liked. There were low points between between 1991 and 95 and around 2000 when the net increase dropped to only 1-2%. But from 2001 on, the banks were churning out new money more and more every year - reaching a staggering 17.8% at the beginning of 2009.

And then the bubble burst. Since the end of 2010, the money supply has been shrinking at a net rate of 7-8% a year. It's not difficult to imagine why, if you remove 7% of the money in the economy every year, then people will have problems in paying the bills, and that many of the shops in the UKs highstreets are now boarded up. Is it any wonder that the UK economy is stuck?

All this is the direct consequence of leaving money creation (and destuction) in the hands of private banks. We are all supposed to be tightening our belts and getting out of debt - whether we are individuals, companies or governments. But under the current system, when you pay off your debts to the banks, the money simply disappears! It's a no-win situation.

Fortunately, there is a solution. It involves ending the right of commercial banks to create and destroy the money supply, and putting that process in the hands of people who are accountable to the public and whose job is to maintain a stable money supply. It's what Andrew Jackson and Ben Dyson call the "Money Creation Committee". Let's do it.

23 Feb 2013

More on irresponsible Money Creation by Commercial Banks

Here's (yet) another graph showing what's wrong with the current system. It shows the % annual increase in the UK's M4 since 1983. M4 is essentially a measure of how much money creation has been going on - money creation that is almost entirely in the hands of commercial banks. I took the numbers in Table A2.1.1 from the Bank of England's Statistics pages, and plotted them in a graph.

It shows the year on year percentage increase in the volume of money. As you can see,  from 1983 to 1990, the banks were merrily increasing the money supply by close on 15% per year. There were dips around 1993 and 2000, but most of the time it has been increasing by around 10% a year. But then, following a super peak of 17.8% in Februay 2009, it has collapsed completely, and net money creation has been negative since October 2010.

That is the real reason for the current crisis. It isn't that governments have been spending too much. It is because the banks have completely reversed their strategy of generating massive amounts of new money (read debt) every year. Instead they have taken huge amounts of money out of the economy by destroying the money that everyone needs to function. Since 2010, every time anyone pays back the money they owe, most of  that money has simply been disappearing in a puff of smoke. It doesn't get reinjected back into the economy. It doesn't even get used to pay the bankers's bonuses. If that was the case, it wouldn't be so bad - at least the money could be recycled via the Maserati dealers.

No, the current system means that when there is a recession, the money simply disappears from the system. And indeed, if governments, businesses and inviduals actually paid back everything they owed, there would be no money left at all!

This, more than anything else, shows the complete insanity of a system built on the idea that the size of the money supply should be left in the hands of commercial banks. Giving them that priviledge to create the money supply also means that when they decide to remove money from the system (as they are currently doing), there is virtually nothing that can be done - except throwing money at them via quantitative easing, and praying.

Consider the alternative - the alternative proposed in Andrew Jackson and Ben Dyson's book on "Modernising Money". With that alternative, the money supply is maintained at a sensible optimal level by an democratically accountable, but independent "Money Creation Committee". If such a committee existed today, the negative growth rates that the UK has seen for the money supply since 2010 would never happen.

Come on you bankers! Explain to the rest of us why your system is so good! Explain to us why it is in the public interest that you have been removing money from the system since 2010, and why you are so much better at managing the money supply than the sort of independent Money Creation Committee proposed by Positive Money.  Go on, I defy you.

Is paying off government debt a good idea?

I've been having an interesting exchange with Ben Dyson from Positive Money. In their book "Modernising Money", he and Andrew Jackson look at the various things that could be done if an independent "Money Creation Committee" was given the task of controlling the money supply - rather than allowing commercial banks to create and destroy the money supply.

They discuss four ways in which newly created money could be spent into the economy
  1. Increasing government spending. This would allow the government to increase the provision or quality of public services such as education, heath care or public transport, without increasing the tax burden on the public. 
  2. Cutting taxes. This could be done in three different ways - (a) giving rebates on tax payments, (b) reducing the rates on taxes such as income tax, VAT, corporation tax, national insurance etc, or (c) abolishing taxes.
  3. Making direct payments to citizens. This would be effectively the "helicopter money" idea. It would mean that the new money would be shared equally between all citizens (or all adults, or all registered taxpayers).
  4. Paying down the national debt.
The choice clearly should depend on the policies of the elected government, because the choice is highly political. You could imagine that left-wing politicians might want to use methods 1 and 3 in preference, whereas right-wing politicians might concentrate on option 2.

Jackson and Dyson don't express strong opinions either way, but they do argue that paying off the national debt should not be the highest priority. They suggest that it would mean "that the newly created money would go first to holders of government bonds and would tend to stay circulating within the financial markets rather than reaching the real economy". And there is a whole section in Appendix II that argues that since the government pays lower interest rates on national debt than the public pays, the highest priority should be to get private debt levels down.

I don't agree. The fact is that the very existence of a system where commercial banks can create money that gets used to buy government bonds and which earn interest for those bond holders is clearly wrong. It is this anomaly that needs fixing above all.

I discovered that the UK's Office for Budget Responsibility has a data area where you can download several excel files, including one called "Economic and fiscal outlook supplementary fiscal tables". In that file you can find the following table showing a breakdown of where the OBR thinks the government's future interest payments will go for the period 2011-18.

I just added up the numbers (as I like to do!) to show that on the current arrangement, the UK government will hand over roughly £380 billion of taxpayers money to bond holders over that period. Now remember that those bond-holders (UK government bonds are called "gilts") are taking essentially zero risk. Even with the UK government's credit rating dropping below Triple A status, they are still taking no risk at all.

Why should UK taxpayers be paying these people anything if it is perfectly possible for the proposed Money Creation Committee to create the money supply interest free and allow the government to pay off those debts?

Jackson and Dyson worry that if the investors money was freed up by the government paying off its debts, this could flood the markets with massive amounts of money and that this could lead to assett bubbles. But maybe, if the investors didn't have the soft option of having riskfree interest paid by the taxpayer, they might invest their money in something useful - like financing businesses!

And more to the point, a large percentage of those gilts are indirectly held by the banks that created the "money" used to buy them out of thin air. In that case, paying off those loans should actually cancel out the loans - meaning that the banks "money" would disappear in a puff of smoke. That sort of money couldn't fuel inflation or assett bubbles.

Anyway, it's an interesting debating point. I look forward to the day when the Money Creation Committee gets to create the money supply. Deciding what to do with all that interest free public money is one of those tasks that I'm sure will be much more pleasant that deciding where austerity's axe should fall next....

20 Feb 2013

Andrew Jackson & Ben Dyson : Modernising Money

I've just finished reading Andrew Jackson and Ben Dyson's book "Modernising Money : Why our monetary system is broken and how it can be fixed". It's superb and I strongly recommend that everyone should read it. Their argumentation is extremely solid and I simply can't believe that any sane person could read this book and not be convinced that we need to fix the current system. As Sir Mervyn King, the Governor of the Bank of England from 2003-2013 said on the 25th of October 2010:
"Of all the many ways of organising banking, the worst is the one we have today".
But Jackson and Dyson don't just analyse the problems with the current system - they also explain in detail their proposals for fixing the system for good. Essentially, their idea is to remove the right of commercial banks to create new money and introduce a new system whereby the money supply is created by central banks, under the supervision of a democratically accountable but independent "Money Creation Committee".
 
I would love to know what those within the banking system would think about their proposals. For example, what would Sir Mervyn King think? Or Lord Adair Turner?  Could any of them provide any good reasons for not implementing the reforms proposed here?

The book is full of gems. For example, on page 114 we learn that:
"In 2010, 45% of the value of total loans outstanding in the UK was to individuals (and secured on property), with an an additional 15% to commercial real estate companies.  A further 20% of lending was for financial intermediation. 7% was unsecured personal debt, 1% went to insurance companies and pension funds and 9% was to "public and other services". Meanwhile, the value of loans outstanding to the productive part of the economy (i.e. those sectors which contribute to GDP) accounted for just 8% of total lending".
This is what happens when the money creation process is in the hands of commercial banks whose only motivation is to maximum their own short-term profits. And then, on page 160, we read:
"From 2002 to 2009 banks increased the money supply by roughly £1 trillion. If the government had instead benefited from this money creation, the UK residents could have paid £1 trillion less in taxes, or public services could have received £1 trillion more. Alternatively, the entirity of the UK government's national debt, which currently stands at just over £1 trillion pounts could have have been repaid".
And we are supposed to believed that only commercial banks can be trusted to do money creation intelligently?

17 Feb 2013

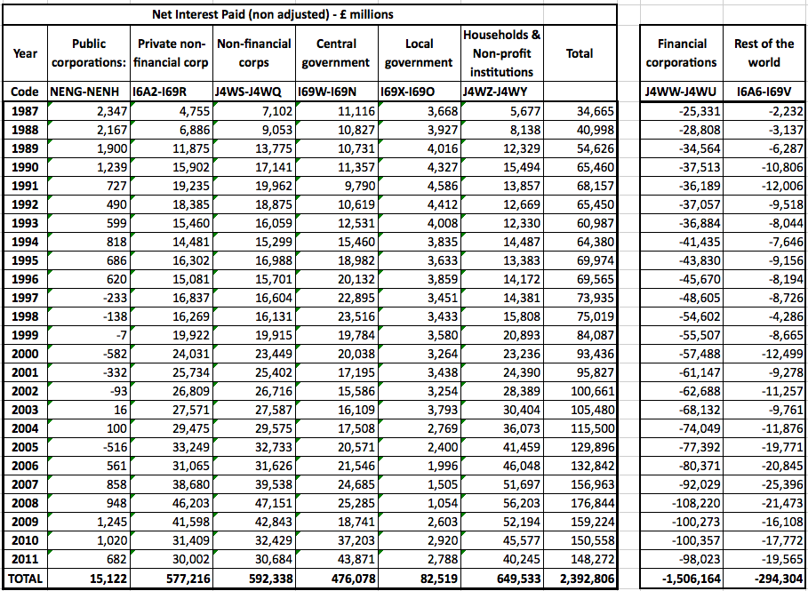
UK Interest Payments - £2.4 trillion since 1987

Ever wondered how much we pay to the banks and the financial sector in interest payments? Well, I had already found the numbers on payments on UK government debt (£495 billion since 1995 according to the figures from EuroStat). But what about other debts - such as households, public corporations, businesses and so forth?

Well, I just discovered that you can find this sort of information for the UK in the Office for National Statistics Blue book, which comes out in July. The last edition, covers the period up to 2011. You can download a pdf file or access the data in the form of an excel file. There are lots of numbers in there, but for example, on page 108 of the report, you can find the following sorts of data for the period 2005-2011. This extract shows numbers for Financial Corporations and for Central Government, but there are other figures for Public Corporations, Private Non-Financial Corporations, Non-Financial Corporations, Local Government, Households and Non-profit Institutions and "Rest of the World".

You can see that there are various numbers, including the amount of interest recieved, and the amount paid. There is some sort of adjustment mechanism called FISIM (Financial Intermediation Services Indirectly Measured), but this doesn't seem to be very clear - and we learn that "a joint UN/Eurostat task force is reveiwing the methodology for measurement of FISIM."

So, lets just take the numbers for unadjusted interest received and unadjusted interest paid to work out the net interest payments for each type of organisation. For example, for Central Government in 2011, you can subtract unadjusted interest received (£5,317 million) from the unadjusted interest paid (£49,188) to get a net interest payment of £43,871 million. Similar, Financial Corporations received £236,746 million in interest in 2011, and paid out £138,713, meaning that they had a net income from interest payments of £98,023 million.

Using the Excel dataset you can find the same numbers going back to 1987, which allowed me to compile the following table which gives the net amount of interest paid for several sectors of the economy. The numbers are in millions of pounds, using current prices.


The bottom line is that, together, people in the UK have handed over nearly £2.4 trillion in interest payments to the financial sector since 1987.  Central Government did a pretty good job - handing over £476 billion. But Local Government managed £82 billion too. And Households managed to provide nearly £650 billion.

Intriguingly, if you add up the net interest payments to the Financial Corporations you get a total of just over £1.5 trillion. Even when you add a further £294 billion in interest coming in from the rest of the world, this doesn't seem to add up to the £2.4 trillion. It looks like there may be a further £500 billion which disappears somewhere - maybe in fees charged by the banks?

Anyway, the point is that a lot of this could be avoided if the money creation process was done debt free by Central Banks, rather than allowing commercial banks to create the money supply and charge us all interest. I've nearly finished reading "Modernising Money" by Andrew Jackson and Ben Dyson from Positive Money.... I'm already convinced that they have the solution.

16 Feb 2013

Yippee - the EU goes for an FTT!

I've set up a Google Alert for "Financial Transaction Tax" which generates a daily list of reports on the web mentioning the term. Usually, it generates a few new entries every day. But in the last 48 hours, the activity has been enormous. 39 yesterday morning, and a further 19 this morning.

The reason? The decision by the EU to back the introduction by 11 Eurozone countries of a Financial Transaction Tax. The original memo from the EU, which is in the form of an FAQ, can be found here, and full details of the Commission's proposals can be found here.

One of the most amusing features of the proposals is the "residency principle". I quote:
"This means that the tax will be due if any party to the transaction is established in a participating Member State, regardless of where the transaction takes place. This is the case both if a financial institution engaged in the transaction is, itself, established in the FTT-zone, or if it is acting on behalf of a party established in that jurisdiction."
This has led to squeals from the City. For example, as reported by Bloomberg "E.U. Levy a back door tax on London, U.K. Firms say". This is pure hypocrisy. The UK has been slapping a 0.5% stamp duty reserve tax (SDRT) on all trading in the shares of UK registered firms - wherever they occur - since 1986. As Wikipedia notes "A unique feature of SDRT, compared to other purely domestic taxes in the United Kingdom, is that more than 40% of the annual intake is collected from outside the UK, thus creating an annual inflow of approx. £1.5 billion pounds from foreign investors to the UK government."

So, it's ok if the UK does it, but it's terrible if someone else tries it. 

The Commission reckons that the tax will raise between 30 and 35 billion euros a year. Frankly, I suspect that this will be an underestimate - and that they are deliberating underplaying the potential revenues. After all, my calculations based on combining ECB and BIS figures showed that financial transactions within the Eurozone were over €2 quadrillion in 2011. It's true that, so far, two big players within the Eurozone have yet to join (Netherlands and Luxembourg), but hopefully, they will see the light.

But it is also clear that there is enormous untapped potential revenue that would be gained by increasing the scope. For example, I see no reason why foreign exchange transactions should be exempt. Indeed, as I have argued previously, it would be a very natural thing for the Eurozone countries to impose an FTT on all foreign exchange transactions involving Euros. I estimated that there were something like €300 trillion per year of foreign exchange in Euros. And since credit card companies and banks charge us all around 2-3% every time we convert from one currency to another, I see no reason why the Eurozone governments shouldn't do the same thing when the traders use our currency.

14 Feb 2013

Has the tide turned?

Things are moving very fast (at last).

Adair Turner, the head of the UK's Financial Services Authority, gave a major speech last week to the Cass Business School called "Debt, Money and Mephistopheles : How do we get out of this mess?" In it,  he broke the taboo that has prevented mainstream economists from even considering the possibility that central banks could provide debt free money to governments. You can read the full 46 page text of the speech here, download the slides here, and you can even watch it on Youtube here.

Anatole Kaletsky, in an article for Reuters, called the speech "A breakthough speech on monetary policy". The speech also got a plug from Martin Wolf at the Financial Times, who has a piece called "The case for helicopter money", where he argues that
"... it is impossible to justify the conventional view that fiat money should operate almost exclusively via today’s system of private borrowing and lending. Why should state-created currency be predominantly employed to back the money created by banks as a byproduct of often irresponsible lending? Why is it good to support the leveraging of private property, but not the supply of public infrastructure? I fail to see any moral force to the idea that fiat money should only promote private, not public, spending."
And, not surprisingly, Adair Turner's talk was also big news for the people at Positive Money where Andrew Jackson (one of the authors of the "Modernising Money" book) has a piece that quotes extensively from Adair Turner's speech.

Ellen Brown was also impressed, and has just posted another excellent commentary called "How Congress could fix its budget woes - permanently" in which she also refers to the speech as a landmark.

In fact, Adair Turner spent quite a lot of time talking about propositions that were made by a certain Milton Friedman who wrote a paper calle "A Monetary and Fiscal Framework for Economic Stability" back in 1948. In it, Friedman made it clear that there was actually a very good case for allowing newly created money to be spent directly into the economy by governments. Specifcially he was proposing:
  • A reform of the monetary and banking system to eliminate both the private creation or destruction of money
  • discretionary control of the quantity of money by central bank authority
  • A policy of determining the volume of government expenditures on goods and services .... entirely on the basis of the community's desire, need, and willingness to pay for public services
That is incredibly close to the sorts of ideas that I was proposing last year, when I proposed that governments should spend money into the economy by directly financing projects that are in the public interest, and which recieve overwhelming support from the electorate.

It really looks as though the cat is out of the bag. It is no longer possible to ignore the fact that there are real alternatives to the current system in which commercial banks have an effective monopoly on the right to create the money supply. And, of course, as I have argued on many occasions, the fact that banks create money and then charge everyone, including governments, interest is total insanity.

9 Feb 2013

How long has this been going on?

I'm still hoping that someone in the media will mention the Positive Money Conference on "Modernising Money" or the book with the same title that came out last week. Not a single mention anywhere. It's quite extraordinary. These guys have a serious proposal that I believe could fix most of the economic problems that we face.

What is going on?

Well, I think the secret lies in the fact that the current system, in which commercial banks get to create the money supply using fractional reserve banking, and then charge us all interest is such a great deal for those at the top, that discussing a reform of the system is completely taboo. Mainstream politicians, economists and journalists simply seem to be incapable of even mentioning the subject.

The scale of the problem is revealed by the amounts that the UK government (and hence the UK taxpayers) have been paying in interest charges for borrowing money that the Bank of England could having been creating with no interest to pay. This table (based on the numbers available from the Eurostat database) shows that  since 1995, UK taxpayers have generously handed over £495 billion in interest charges - an average of 2.6% of GDP - although the percentage actually reached 3.2% in 2011. I can't wait for the figures for 2012 to come out so that I can update the figures for all the 27 european countries. Something tells me that the numbers are going to be particularly impressive, especially for countries like Greece.

But it turns out that these numbers for the UK are relatively modest compared with the amounts that have been handed over in interest charges in the last 50 years. Thanks to Tejvan Pettinger's excellent "Economics Help" site, I found a document called "A Survey of Public Spending in the UK" published by the Economic and Social Research Council in 2009, that you can download here. On page 30 there is the following graph of "Public sector net debt interest payments as a share of national income from 1955.

As you can see, the percentage was over 3.5% for most of the 60s and 70s, reaching a high point of over 4.5% in 1981-2!

This may have seemed OK at the time. But now, the cat is out of the bag. We now realize that the whole idea that our governments have abandoned their natural right to create the money supply and given that right to commerical banks makes no sense whatsoever. It is quite simply the biggest con trick ever.

When I think of what governments could have done with the trillions in interest  charges that they have pointlessly been paying to the banking sector for all my life (I was born in 1956), I can only say one thing - this has to stop.

If there is a journalist out there reading this, can I ask you one thing? Please, please, give the people at Positive Money the coverage that they deserve.

2 Feb 2013

How banks print money for themselves

Last year I posted a piece about how you could solve the UK's national debt problem in five easy stages. All you need is to have a bank with a bit of capital that used the fractional reserve banking scam to create money that it then lent to a customer that then lends to a second customer who then reinvests in the bank, allowing the bank to create yet more money.

By starting with an investment of £30,000 and doing the same trick 5 times, you can generate enough "money" to pay off the entire national debt. Magic!

At the time I thought that it was a bit of a long shot. Surely, nobody would be able to pull off such a trick?

Well, the Financial Times had a report yesterday called "Barclays in Qatar Loan Probe" in which they state that "UK authorities are probing an allegation that Barclays loaned Qatar money to invest in the bank as part of its cash call at the height of the financial crisis in 2008, which enabled the bank to avoid a UK government bailout."

The article goes on to say "If confirmed, such an arrangement could contravene market regulations if it was not properly disclosed at the time, legal and industry experts warned. “The concept of lending money to any investor to purchase your own shares raises a series of immediate questions about disclosure and other regulatory issues,” said Peter Hahn, a former banker at Citi now at Cass Business School."

The Guardian also took up the story in a report that "The Qataris were the main contributors to a £7.3bn lifeline to Barclays that allowed it to avoid a taxpayer bailout. The Financial Times reported that the Serious Fraud Office and the Financial Services Authority are investigating whether Barclays lent Qatar funds to buy shares in the bank."

Well, all I can say is that the people at Barclays should read my proposal, in which I carefully point out that you have to at least cover the traces by using intermediates in the Cayman Islands. If you just create a whole pile of money that you lend to the Qataris who then invest directly in your own bank, isn't it just a bit too obvious? That really does look like printing your own money. No different really to having a printing press in the basement.

Come on Barclays! Use a bit more skill for heaven's sake. Lend the money to some obscure group based in the Caymans before they pass it on the Qataris to invest back in the bank. I would have thought that it was simple....